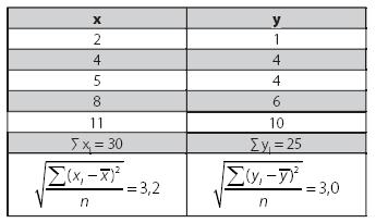
Com base nas informações abaixo, assinale a alternativa verdadeira.
A média aritmética de y é menor do que a moda de y.
A mediana de x é menor do que a mediana de y.
A variabilidade, medida pelo desvio-padrão das séries, é menor na série x do que na série y.
A variabilidade, medida pelo coefi ciente de variação das séries, é menor na série x do que na série y.
Olá, para continuar, precisamos criar uma conta! É rápido e grátis.