Magna Concursos
1658446 Ano: 2007
Disciplina: Estatística
Banca: NCE-UFRJ
Orgão: Eletrobrás
Provas:

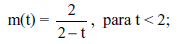
Uma variável aleatória X tem função de densidade de probabilidade dada por:

enunciado 1658446-1

A função geradora de momentos de X é dada por:

 

Provas

Questão presente nas seguintes provas

Estatístico

70 Questões