Magna Concursos
74717 Ano: 2002
Disciplina: Estatística
Banca: ESAF
Orgão: SUSEP

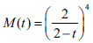
A função geratriz de momentos da variável aleatória X vem dada para t suficientemente pequeno por

Enunciado 3282382-1

Assinale a opção correta.

 

Provas

Questão presente nas seguintes provas

Analista Técnico da SUSEP - Atuária

65 Questões