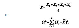
Uma amostra aleatória simples {X1, X2, X3, X4} de tamanho 4 é retirada de uma distribuição normal com média μ e variância σ2 . A respeito das estatísticas

assinale a opção correta.
Uma amostra aleatória simples {X1, X2, X3, X4} de tamanho 4 é retirada de uma distribuição normal com média μ e variância σ2 . A respeito das estatísticas

assinale a opção correta.