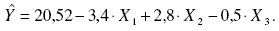
A partir de uma amostra de 36 elementos foi estabelecido o seguinte modelo de regressão:

Para a elaboração do quadro para Análise de Variância, sabe-se que a Variação Explicada é igual a 1.656 e a Variação Total é igual a 3.128. Assim, o valor da estatística F é igual a: