Um dos modelos de demografia e dinâmica
populacional mais simples existentes consiste
no Modelo de Malthus. O número de indivíduos
da população P = P(t) é governado pela
equação diferencial abaixo onde parâmetro “a”
representa a taxa de crescimento populacional
efetivo (com dimensão do inverso do tempo).
dP/dt = aP
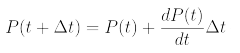
Uma técnica simples de solução numérica de equações diferenciais consiste em se iterativamente construir para um passo (discretização em t) pequeno a solução a partir da expansão em série de Taylor da função, inserindo o truncamento em primeira ordem.
Considerando um coeficiente a = 10 (unidade de inverso de tempo) para o modelo de Malthus e a condição inicial P0 = 2000 indivíduos, com uma discretização de t em intervalos de 0,01 unidades de tempo, assinale a alternativa que indica corretamente o valor de P no instante t = 0,03 unidades de tempo obtido numericamente por esse método.
dP/dt = aP
Uma técnica simples de solução numérica de equações diferenciais consiste em se iterativamente construir para um passo (discretização em t) pequeno a solução a partir da expansão em série de Taylor da função, inserindo o truncamento em primeira ordem.
Considerando um coeficiente a = 10 (unidade de inverso de tempo) para o modelo de Malthus e a condição inicial P0 = 2000 indivíduos, com uma discretização de t em intervalos de 0,01 unidades de tempo, assinale a alternativa que indica corretamente o valor de P no instante t = 0,03 unidades de tempo obtido numericamente por esse método.