Magna Concursos
448294 Ano: 2008
Disciplina: Estatística
Banca: FGV
Orgão: Senado

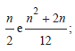
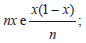
Seja X uma variável aleatória com distribuição uniforme no intervalo (0,1) e suponha que a distribuição condicional de Y dado X = x seja binomial (n, x). Nesse caso, a esperança e a variância da variável aleatória Y são respectivamente:

 

Provas

Questão presente nas seguintes provas

Analista Legislativo - Estatística

80 Questões