Magna Concursos
1535002 Ano: 2001
Disciplina: Engenharia de Automação
Banca: CESPE / CEBRASPE
Orgão: Petrobrás

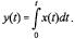
A relação entre a entrada x(t) e a saída y(t) de um determinado sistema é dada pela expressão enunciado 1535002-1 . Com base nessa expressão, é correto afirmar que o sistema é

causal.
 

Provas

Questão presente nas seguintes provas

Engenheiro de Equipamentos - Eletrônica

200 Questões