Magna Concursos

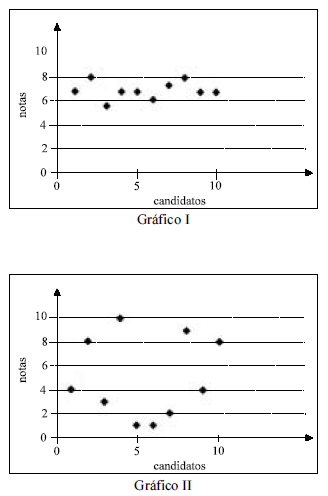
Suponha que os gráficos I e II abaixo representem, respectivamente, as notas na prova de Língua Portuguesa, que tem um valor máximo de 10 pontos, obtidas por 10 candidatos a cada um dos cargos de Consultor Legislativo e Consultor de Orçamentos do Senado Federal. Nessa situação, é correto afirmar que o desvio-padrão da série de notas do gráfico I é maior que o da série de notas do gráfico II.

Enunciado 1785841-1

 

Provas

Questão presente nas seguintes provas