Magna Concursos
159330 Ano: 2019
Disciplina: Estatística
Banca: FGV
Orgão: DPE-RJ

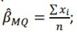
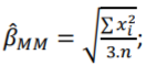
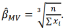
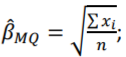
Seja X uma variável aleatória com parâmetro β e função de densidade de probabilidade dada por:

ƒx(x) = kx2 · e-x/β · β-3, para x > 0 e Zero, caso contrário.

Para a estimação do parâmetro da distribuição, uma amostra de tamanho n é extraída e vários métodos são cogitados.

Sobre os possíveis estimadores, é correto afirmar que:

 

Provas

Questão presente nas seguintes provas

Técnico de Nível Superior - Estatística

80 Questões