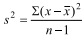
Considere que a variância amostral é definida por
. Se os valores são 5, 6, 7, 8 e 9, então
a variância é
Provas
Questão presente nas seguintes provas
Analista de Desenvolvimento Urbano - Estatística
60 Questões
Considere que a variância amostral é definida por
. Se os valores são 5, 6, 7, 8 e 9, então
a variância é