Magna Concursos
730982 Ano: 2008
Disciplina: Estatística
Banca: CESPE / CEBRASPE
Orgão: INSS
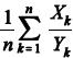
Com respeito ao texto anterior, considerando uma amostragem aleatória simples (X1, Y1), (X2, Y2), ...., (Xn, Yn) para a estimação dos parâmetros da distribuição (λ > 0, φ > 0), em que cada vetor aleatório (Xk, Yk) é identicamente distribuído como (T1, T2), k = 1, 2, ..., n, julgue o item subseqüente.

Os estimadores de máxima verossimilhança para λ e φ são, respectivamente, iguais a enunciado 730982-1 e enunciado 730982-2.
 

Provas

Questão presente nas seguintes provas

Analista do Seguro Social - Estatística

150 Questões