- PODC: Processo OrganizacionalProcesso Administrativo: OrganizaçãoEstrutura OrganizacionalDesenho Estrutural das Organizações
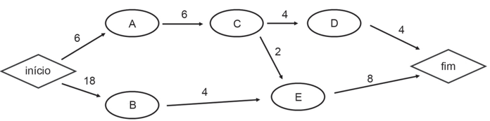
Considere o diagrama de rede do cronograma de um projeto, apresentado a seguir, que contém cinco atividades (A, B, C, D e E). O tempo indicado nas setas está especificado em semanas.

Caso uma revisão do projeto atualize a duração do caminho C-E de 2 para 6 semanas, a consequência dessa revisão será que a duração do caminho crítico do projeto