Magna Concursos
3253835 Ano: 2024
Disciplina: Matemática
Banca: FUNDATEC
Orgão: Pref. Alegria-RS
Provas:

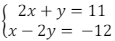
Considerando o sistema de equação de 1º grau a seguir, é correto afirmar que x3 – 4y é igual a:

Enunciado 3529091-1

 

Provas

Questão presente nas seguintes provas

Psicólogo

40 Questões