Uma população com 16 valores estritamente positivos
, correspondente a um determinado atributo, apresenta as seguintes informações:

O elemento
, tal que
= 12 , é retirado da população. Os valores da variância da primeira população e da nova população formada são, respectivamente, iguais a
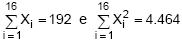
, correspondente a um determinado atributo, apresenta as seguintes informações:
O elemento
, tal que
= 12 , é retirado da população. Os valores da variância da primeira população e da nova população formada são, respectivamente, iguais a