Magna Concursos
1493804 Ano: 2006
Disciplina: Estatística
Banca: NCE-UFRJ
Orgão: AGU
Provas:

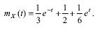
Seja X uma variável aleatória cuja função geratriz de momentos é dada por enunciado 1493804-1

O valor de enunciado 1493804-2 é:

 

Provas

Questão presente nas seguintes provas

Estatístico

100 Questões