Julgue o item , relativo à análise de séries temporais
Considere que o critério de informação bayesiana (BIC) para um modelo ARMA(p, q) seja definido por , BIC( p,q ) = In
+ ( p + q ) In N/ N, em que N é o número de observações da série, e
é a estimativa da variância do modelo. Nesse caso, se
e se BIC ( 1,1 ) = 1/2BIC( K,0 ) = 2/3BIC( 0, w ) então os modelos considerados são, respectivamente, ARMA(1, 1), AR(4) e MA(3).
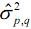
Considere que o critério de informação bayesiana (BIC) para um modelo ARMA(p, q) seja definido por , BIC( p,q ) = In
+ ( p + q ) In N/ N, em que N é o número de observações da série, e
é a estimativa da variância do modelo. Nesse caso, se
e se BIC ( 1,1 ) = 1/2BIC( K,0 ) = 2/3BIC( 0, w ) então os modelos considerados são, respectivamente, ARMA(1, 1), AR(4) e MA(3).