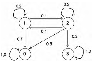
Texto para responder à questão.

O diagrama apresentado modela o que ocorre com as cobaias
durante as fases de teste de um tratamento experimental ao
longo de n meses. Nesse tratamento, existem duas fases
(estados 1 e 2, respectivamente) em que a cobaia pode ter de
repetir a fase, sendo que a conclusão (estado 3) ocorre
somente após a fase 2; também pode haver morte da cobaia
(estado 0) a qualquer tempo do teste.