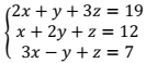
O valor de x no sistema linear a seguir é:

Provas
Questão presente nas seguintes provas
Engenheiro Civil
50 Questões
Médico - Plantonista
45 Questões
Odontologista - Protesista
50 Questões
Odontólogo - Traumatologia Bucomaxilofacial
50 Questões