Magna Concursos
748561 Ano: 2013
Disciplina: Estatística
Banca: CESPE / CEBRASPE
Orgão: BACEN
Considere decisões de investimento em um ambiente com risco, em que o agente possui a função utilidade de Bernoulli enunciado 748561-1 , e nível de riqueza igual a 5 unidades. Com base nessas informações, julgue o item seguinte.

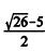
Considere a loteria cujo lucro seja igual a 36, com probabilidade igual a 1/2 , e lucro igual a 16, com probabilidade igual a 1/2 . Nessa situação, o prêmio de probabilidade do agente sobre a loteria é igual a enunciado 748561-2 , ao passo que o prêmio de risco é igual a 1.
 

Provas

Questão presente nas seguintes provas