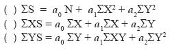
Tendo que a sinistralidade (S) de uma carteira de automóveis de "n" observações foi avaliada em função das variáveis: X, relativa ao modelo do veículo, e Y, perfil do condutor, resultando os pontos: (X1, Y1, S1), (X2, Y2, S2), ..., (Xn, Yn, Sn), podendo S ser descrita pela expressão:
S = a0 + a1X + a2Y.
Avaliando S em função de valores atribuídos a X e Y, falando- se de um plano de mínimo quadrado de ajustamento de dados, as equações normais correspondentes ao plano de mínimo quadrado são dadas por:
