Magna Concursos
3268686 Ano: 2013
Disciplina: Estatística
Banca: FEPESE
Orgão: EPAGRI-SC
Provas:

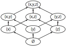
Analise a figura abaixo:

Enunciado 3591622-1

Assinale a alternativa que identifica corretamente a figura.

 

Provas

Questão presente nas seguintes provas

Estatístico

50 Questões