Texto para a questão
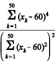
Uma instituição coletou, durante vários dias, uma amostra aleatória do número de veículos que passaram por um posto de contagem. O resultado dessa amostra aleatória pode ser expresso por y1, y2,..., yn, em que yk representa o número de veículos que passaram no posto de contagem no dia k. Em cada dia k também foi registrada a velocidade média dos veículos, xk, em km/h. As seguintes estatísticas foram obtidas:
,