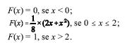
Considere a função de distribuição acumulada, da variável aleatória contínua X, apresentada a seguir.

Julgue os itens subseqüentes acerca dessa função.
I A moda de X é igual a 2.
II A mediana de X é igual a 1.
III A média de X é igual a
.
Assinale a opção correta.