Magna Concursos
3588963 Ano: 2007
Disciplina: Estatística
Banca: ESAF
Orgão: SEFAZ-CE

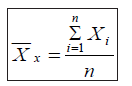
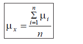
A média aritmética discreta de uma população qualquer é dada pela seguinte formulação:

 

Provas

Questão presente nas seguintes provas

Analista - Contábil e Financeiro

120 Questões

Analista de TI

120 Questões