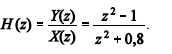
Considerando a equação de diferenças y(n) = x(n) - x(n - 2) - 0,8y(n - 2),
usada na implementação de um filtro digital para filtragem de um sinal
amostrado à frequência de 2.000 amostras por segundo, julgue os itens
a seguir.
A função de transferência de um sistema representado pela equação acima é dada por 
Provas
Questão presente nas seguintes provas
Pesquisador do INPI - Engenharia Eletrônica
120 Questões