Magna Concursos
3553202 Ano: 2025
Disciplina: Engenharia de Telecomunicações
Banca: IF-SUL
Orgão: IF-SUL

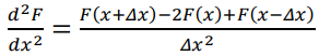
Sabe-se que a aproximação de segundas derivadas em diferenças finitas pode ser determinada por Enunciado 4190326-1.

Diante do exposto, qual equação de recorrência pode determinar a solução da equação de onda plana unidimensional?

 

Provas

Questão presente nas seguintes provas