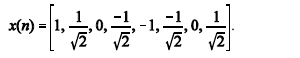
Um sinal analógico foi amostrado à frequência de 800 Hz, o que gerou a seguinte sequência:

Considerando que o critério de Nyquist tenha sido atendido nessa amostragem e que FFT e DFT correspondem, respectivamente, à transformada rápida de Fourier e à transformada discreta de Fourier, julgue os itens que se seguem.
Provas
Questão presente nas seguintes provas
Pesquisador do INPI - Engenharia Eletrônica
120 Questões