Assinale a opção correta.
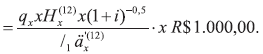
Para um Benefício de Pensão de R$1.000,00 mensais, com custeio calculado pelo RCC, onde
representa o valor atual dos encargos familiares mensais, o prêmio puro periódico, a ser pago no início de cada mês, é obtido pela seguinte formulação:
Atenção:
- o apóstrofe (') na simbologia indica o uso do fator da função;
- observe que nas opções há "x" como idade e como operador matemático (donde a interpretação faz parte da questão).
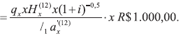
Para um Benefício de Pensão de R$1.000,00 mensais, com custeio calculado pelo RCC, onde
representa o valor atual dos encargos familiares mensais, o prêmio puro periódico, a ser pago no início de cada mês, é obtido pela seguinte formulação:Atenção:
- o apóstrofe (') na simbologia indica o uso do fator da função;
- observe que nas opções há "x" como idade e como operador matemático (donde a interpretação faz parte da questão).
Provas
Questão presente nas seguintes provas