Magna Concursos
Questões
Planos
Entrar
Entrar
Criar Conta
Respondida
1000366
Ano:
2012
Disciplina:
Estatística
Banca:
CESPE / CEBRASPE
Orgão:
TJ-RO
Provas:
Analista Judiciário - Estatística
Provas
×
Estatística Inferencial
Estatística Não Paramétrica
Teste de McNemar
Com relação ao teste de McNemar aplicado à tabela de contingência acima, assinale a opção correta.
A
O teste pode ser usado para testar a independência entre as variáveis “teste 1” e “teste 2”.
B
A hipótese do teste é H
0
: p
b
= p
c
versus H
1
: p
b
… p
c
, em que p
b
e p
c
são as respectivas proporções em b e c.
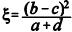
C
A estatística do teste é dada por
D
A substituição de (b - c)
2
por (b - c)
2
- 0,5 na estatística do teste foi proposta por Yates como uma correção de continuidade.
E
A estatística do teste tem distribuição qui-quadrado com 4 graus de liberdade.
Resolver
Comentários
0
×
Cadernos
×
Flashcards
×
Estatísticas
×
Reportar um erro
×
Provas
Questão presente nas seguintes provas
Analista Judiciário - Estatística
60 Questões
Resolver Prova
Publicar
Responder
Qual o problema da questão?
Selecione uma opção
Questão Desatualizada
Questão Repetida
Gabarito Errado
Outros Motivos
Mensagem
Enviar
Acessar
Criar Conta
Acesse sua Conta
Google
Facebook
Esqueci minha senha
Acessar
Ainda não tem conta?
Crie uma
!
Crie uma Conta
Criar Conta
Olá, para continuar, precisamos criar uma conta!
É
rápido
e
grátis
.
Google
Facebook
Concordo com os
Termos de Uso
Criar
Já tem uma conta?
Acesse aqui