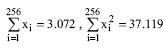
Uma amostra aleatória simples de tamanho 256 de uma distribuição normal foi observada e revelou os seguintes valores para as estatísticas suficientes:

Uma amostra aleatória simples de tamanho 256 de uma distribuição normal foi observada e revelou os seguintes valores para as estatísticas suficientes:
