Magna Concursos
1365340 Ano: 2021
Disciplina: Estatística
Banca: CESPE / CEBRASPE
Orgão: PG-DF
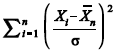
Uma amostra aleatória simples X1, X2, ..., Xn foi retirada de uma distribuição normal com média μ e desvio padrão σ. Considerando que
Enunciado 1365340-1
e
Sn = Enunciado 1365340-2
são estatísticas que representam, respectivamente, a média amostral e o desvio padrão amostral, julgue o item a seguir.
A agregação dos desvios padronizados dada por Enunciado 1365340-3 segue uma distribuição qui-quadrado com n graus de liberdade.
 

Provas

Questão presente nas seguintes provas

Analista Jurídico - Estatística

120 Questões