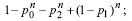
Suponha que n experimentos independentes sejam realizados, resultando, em cada experimento, nos valores 0, 1 ou 2 com probabilidades respectivas
A probabilidade de que os números 0 e 2 ocorram pelo menos uma vez é dada por:
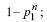
Suponha que n experimentos independentes sejam realizados, resultando, em cada experimento, nos valores 0, 1 ou 2 com probabilidades respectivas
A probabilidade de que os números 0 e 2 ocorram pelo menos uma vez é dada por: