Magna Concursos
Questões
Planos
Entrar
Entrar
Criar Conta
Respondida
1615901
Ano:
2009
Disciplina:
Gerência de Projetos
Banca:
PUC-PR
Orgão:
URBS
Provas:
Agente Profissional - Administrador
Provas
×
Diagrama de Redes, PERT, CPM e MDP
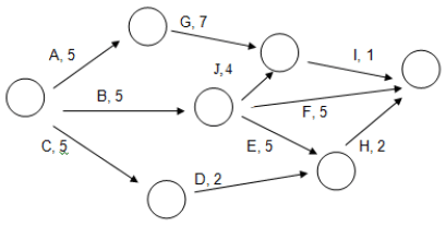
Dada a rede CPM da figura abaixo, determine o caminho crítico da operação. A letra indica a atividade, e o número indica o tempo (em horas) necessário para realizá-la.
A
B e F
B
A, G e I
C
B, E e H
D
C, D e H
E
B, J, I, F, E e H
Resolver
Comentários
0
×
Cadernos
×
Flashcards
×
Estatísticas
×
Reportar um erro
×
Provas
Questão presente nas seguintes provas
Agente Profissional - Administrador
40 Questões
Resolver Prova
Publicar
Responder
Qual o problema da questão?
Selecione uma opção
Questão Desatualizada
Questão Repetida
Gabarito Errado
Outros Motivos
Mensagem
Enviar
Acessar
Criar Conta
Acesse sua Conta
Google
Facebook
Esqueci minha senha
Acessar
Ainda não tem conta?
Crie uma
!
Crie uma Conta
Criar Conta
Olá, para continuar, precisamos criar uma conta!
É
rápido
e
grátis
.
Google
Facebook
Concordo com os
Termos de Uso
Criar
Já tem uma conta?
Acesse aqui