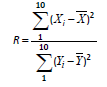
Uma amostra X1 , X2 , ... X10 , de tamanho 10, de uma variável populacional !$ N (\mu_x, \sigma^2_x) !$) será observada e uma amostra Y1 , Y2 , ... Y10 , de tamanho 10, de uma variável populacional !$ N (\mu_x, \sigma^2_y) !$, independente da amostra X, será também observada. O problema é testar !$ H_0 : \sigma^2_x \le \sigma^2_y !$ contra !$ H_1 : \sigma^2_x > \sigma^2_y !$.
Para tal, será usada a estatística de teste a seguir

e um critério de decisão que rejeita a hipótese nula se R > k.
Ao nível de significância de 5%, k é igual a