*Considere a informação para responder à questão.
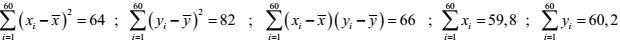
As quantidades a seguir foram obtidas a partir de uma amostra de 60 indivíduos com relação a duas características: X e Y.

O coeficiente de correlação amostral entre x e y é igual a As quantidades a seguir foram obtidas a partir de uma amostra de 60 indivíduos com relação a duas características: X e Y.
