Magna Concursos
2680588 Ano: 2023
Disciplina: Estatística
Banca: Consulplan
Orgão: SEGER-ES
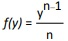
Considere que o teor de argila em um solo é modelado por uma variável aleatória X, cuja distribuição é uniforme (0,1). Suponha que, para interesses práticos, seja necessário estudar o comportamento da variável Y = Xn , em que n é um número natural não nulo. A função densidade de probabilidade f (y) da variável Y considerando 0 ≤ y ≤ 1 é dada por:
 

Provas

Questão presente nas seguintes provas

Analista do Executivo - Estatística

70 Questões