Magna Concursos
1881294 Ano: 2007
Disciplina: Estatística
Banca: CESPE / CEBRASPE
Orgão: PC-PA

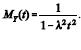
Considere que uma variável aleatória Y tenha uma distribuição determinada pela função de densidade de probabilidade , Enunciado 1881294-1. Nessa situação, assinale a opção incorreta.

 

Provas

Questão presente nas seguintes provas

Técnico em Gestão Pública - Estatística

40 Questões