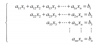
Considere o sistema abaixo, em que

Tais sistemas são resolvidos por substituições retroativas. Com relação à solução do sistema em pauta, relacione as colunas e assinale a alternativa com a sequência correta.
1 . 
2 . 
3. 
4.
( ) O sistema é incompatível.
( ) O sistema é compatível e determinado.
( ) Equações para as substituições retroativas.
( ) O sistema é compatível e indeterminado.