3001294
Ano: 2023
Disciplina: Engenharia de Telecomunicações
Banca: CESGRANRIO
Orgão: Transpetro
Disciplina: Engenharia de Telecomunicações
Banca: CESGRANRIO
Orgão: Transpetro
Provas:
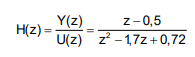
Considere um sistema discreto relaxado (condições iniciais nulas), modelado pela seguinte função de transferência:
Sabe-se que a taxa de amostragem T desse sistema é de 1 s.
Se a entrada desse sistema for submetida a um impulso discreto no instante t = 0, qual deverá ser a saída y em t = 4 s?
Sabe-se que a taxa de amostragem T desse sistema é de 1 s.
Se a entrada desse sistema for submetida a um impulso discreto no instante t = 0, qual deverá ser a saída y em t = 4 s?