Magna Concursos
1365294 Ano: 2021
Disciplina: Estatística
Banca: CESPE / CEBRASPE
Orgão: PG-DF
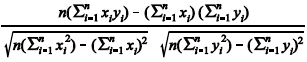
O coeficiente de correlação linear de Pearson entre duas variáveis aleatórias discretas X e Y definidas sobre um mesmo espaço amostral é dado por
CORR(X,Y)=Enunciado 1365294-1.
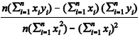
Já na reta de melhor ajuste Y = aX + b, determinada pelo método dos mínimos quadrados, os coeficientes são dados por
α=Enunciado 1365294-2
β=Enunciado 1365294-3.
Uma forma de avaliar a precisão do modelo consiste em comparar o estimador não viesado da variância residual, obtidos das diferenças entre os valores observados e os previstos pelo modelo, Enunciado 1365294-4, com o estimador não viesado da variância dos valores observados, Se=1/n-1Enunciado 1365294-5.
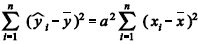
Tal avaliação também pode ser realizada pela aferição na redução da soma dos quadrados dos resíduos na passagem do modelo simples, em que as observações são aproximadas por sua média, para o modelo de regressão linear, redução esta que é dada por Enunciado 1365294-6.
Com base nessas informações, julgue o item seguinte.
Quanto mais próximo de -1 estiver o coeficiente de correlação de Pearson entre duas variáveis, menos indicada será a aplicação do método de mínimos quadrados para obter a relação entre as variáveis.
 

Provas

Questão presente nas seguintes provas

Analista Jurídico - Estatística

120 Questões