Magna Concursos
3553350 Ano: 2025
Disciplina: Engenharia de Telecomunicações
Banca: IF-SUL
Orgão: IF-SUL

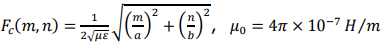
Em um guia de onda retangular, preenchido com ar, a frequência de corte do modo TE10 é 5GHz, enquanto a do modo TE01 é 12GHz.

Sabendo que Enunciado 4190510-1 e Enunciado 4190510-2, as dimensões do guia são, respectivamente,

 

Provas

Questão presente nas seguintes provas