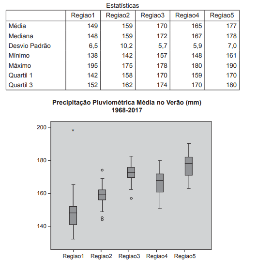
Dados sobre Precipitação Pluviométrica em cinco regiões do estado do Rio de Janeiro foram coletados para os meses de
verão (janeiro a março) entre 1968 e 2017. Os resultados permitiram os cálculos das estatísticas e a elaboração do Box
Plot apresentados abaixo.
De acordo com os resultados acima, observe as afirmações a seguir.
I - A média das precipitações pluviométricas é uma medida representativa da quantidade de chuva média mensal no verão em cada região, devido à baixa variabilidade das medidas. II - A variação das médias das precipitações dentro de cada região é inferior à variação das médias das precipitações entre as regiões. III - Em pelo menos um ano, a precipitação média no verão ficou abaixo do índice de 1,5 desvio quartílico da distribuição em duas regiões.
Está correto APENAS o que se afirma em
De acordo com os resultados acima, observe as afirmações a seguir.
I - A média das precipitações pluviométricas é uma medida representativa da quantidade de chuva média mensal no verão em cada região, devido à baixa variabilidade das medidas. II - A variação das médias das precipitações dentro de cada região é inferior à variação das médias das precipitações entre as regiões. III - Em pelo menos um ano, a precipitação média no verão ficou abaixo do índice de 1,5 desvio quartílico da distribuição em duas regiões.
Está correto APENAS o que se afirma em