Magna Concursos
897782 Ano: 2013
Disciplina: Logística
Banca: CESGRANRIO
Orgão: BR Distribuidora
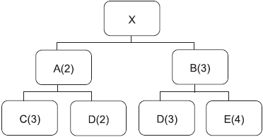
Um motor (X) apresenta a seguinte estrutura de produto:
enunciado 897782-1
O número de Bobinas (representado por D) necessário para se produzir 200 motores (X) é:
 

Provas

Questão presente nas seguintes provas

Técnico - Suprimento e Logística

50 Questões