Observe a imagem a seguir.

O circuito lógico mostrado na figura acima tem três entradas, I0, I1, I2 e 2 saídas, Y0, Y1. Qual é a entrada (I0, I1, I2) que resulta na saída (Y0, Y1) = (0, 0)?
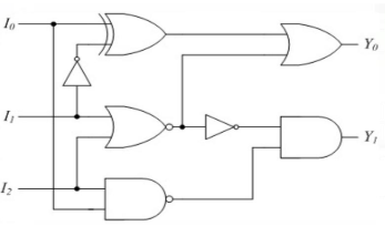
Observe a imagem a seguir.

O circuito lógico mostrado na figura acima tem três entradas, I0, I1, I2 e 2 saídas, Y0, Y1. Qual é a entrada (I0, I1, I2) que resulta na saída (Y0, Y1) = (0, 0)?