A variável aleatória X tem função de distribuição de probabilidades dada por

Assinale a opção que dá o valor da probabilidade de que X assuma o valor 3.
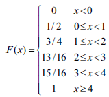
A variável aleatória X tem função de distribuição de probabilidades dada por

Assinale a opção que dá o valor da probabilidade de que X assuma o valor 3.