Magna Concursos
584623 Ano: 2014
Disciplina: Engenharia de Telecomunicações
Banca: CESPE / CEBRASPE
Orgão: INPI

Enunciado 584623-1

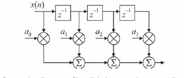
A figura acima ilustra um filtro digital empregado para equalização no receptor de um sistema de comunicações digitais. Tendo como referência essa figura, julgue os itens que se seguem.

A figura retrata um filtro IIR (infinite impulse response).
 

Provas

Questão presente nas seguintes provas