Magna Concursos
976997 Ano: 2014
Disciplina: Estatística
Banca: FCC
Orgão: TRT-16
Para responder às questões use, dentre as informações dadas abaixo, as que julgar apropriadas.

Se Z tem distribuição normal padrão, então:

P(Z < 0,25) = 0,599,   P(Z < 0,80) = 0,84, P(Z < 1) = 0,841, P(Z < 1,96) = 0,975, P(Z < 3,09) = 0,999
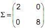
Considere enunciado 976997-1uma variável aleatória com distribuição normal multivariada com vetor de médiasenunciado 976997-2 e matriz de covariâncias enunciado 976997-3. Seja a variável aleatória U = 2X - Y. A probabilidade de U assumir um valor entre 2 e 5, denotada por P(2 < U < 5) é igual a
 

Provas

Questão presente nas seguintes provas

Analista Judiciário - Estatística

60 Questões