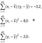
Deseja-se investigar a relação entre o consumo per capita de gasolina (Y) e o preço desse combustível (X). A partir de dados coletados de 45 cidades, observa-se uma relação linear entre as duas variáveis em estudo. Sabendo-se que

quanto da variabilidade referente ao consumo per capita do gás natural é explicado pelo seu preço?