Magna Concursos
797893 Ano: 2018
Disciplina: Estatística
Banca: AOCP
Orgão: SUSIPE-PA
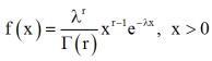
Sendo ( X1,. X2, ..., Xn) uma amostra de uma variável aleatória com distribuição de probabilidade Gama com parâmetros λ e r, é correto afirmar que a função de máxima verossimilhança com base nessa amostra é
 

Provas

Questão presente nas seguintes provas